我院新进青年教师刘瑜博士基于第一性原理计算对CrFeCoNiMnx (0≤x≤3)高熵合金的热力学性能和断裂特性的变化规律进行了系统性研究,以第一作者在《Journal of Materials Research and Technology》发表题为“An initio study of thermodynamic and fracture properties of CrFeCoNiMnx (0≤x≤3) high-entropy alloys”科研论文。该期刊是材料设计和制备领域国际知名期刊,属于中科院一区Top期刊,影响因子6.267。
第一性原理计算是一种基于量子力学的方法,能够便捷地计算出体系的能量、力学性能和电子结构等物理特性,被广泛应用于材料学、化学和生命科学等领域。CrFeCoNi基高熵合金是一种新型的结构材料,具有多主元、多效应等特点,通过添加不同的合金元素配比表现出优异的强度、韧性和耐磨性能等。为此,该研究利用第一性原理计算控制合金元素Mn的含量,系统性探究了CrFeCoNiMnx (0≤x≤3)高熵合金的热力学性能和断裂特性的变化规律,有助于寻求更优断裂韧性的新型合金材料。
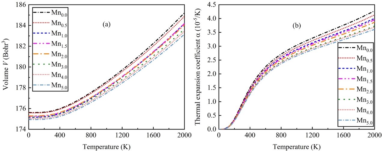
研究结果表明,CrFeCoNiMnx (0≤x≤3)高熵合金由于负的形成能而具有较好的热力学稳定性,同时较低Mn含量的合金体系具有更高的振动熵,使得高熵合金的晶体结构更加稳定。定容比热CV和定压比热CP在低温时表现的更加敏感,而在0-2000K范围内,高熵合金中Mn含量变化对CV值几乎不产生影响。较低Mn含量的高熵合金在加热时具有更大的热膨胀体积和热膨胀系数,表明随着Mn含量的增加高熵合金更难发生热膨胀。与此同时,研究发现CrFeCoNiMnx (0≤x≤3)高熵合金超晶胞模型在[100]、[010]和[001]三个晶体学方向上所需的断裂能随着Mn含量的增加而增大,表明增加高熵合金中的Mn含量将提高合金的原子键合强度,有助于提升CrFeCoNiMnx (0≤x≤3)高熵合金的抗断裂能力。该项研究工作为探寻高温条件下具有优异断裂性能的新型合金材料具有一定的研究价值。
该科研论文英国上市公司官网365汽车零部件技术研究院为第一完成单位,刘瑜博士为第一作者,吴远志教授和凡头文博士为通讯作者,同时得到了湖南大学王志鹏博士等人的悉心指导和支持。

图1 CrFeCoNiMnx(0≤x≤3)高熵合金的晶胞断裂面示意图和断裂能随Mn含量的变化曲线

图2 CrFeCoNiMnx(0≤x≤3)高熵合金的热膨胀体积和热膨胀系数随Mn含量的变化曲线